Изпит по ВА. Задачи. Дискусия
Модератори: Methuselah, thegirl
- Kai
- Форумозавър Рекс
- Мнения: 783
- Регистриран на: 19 Фев 2007, 00:05
- Специалност: Информатика
- Пол: Жена
- Курс: трети
- Skype: kai__87
- Местоположение: Somewhere there in the middle of Nowhere...
Re: Изпит по ВА. Задачи. Дискусия
10 и 17 - двете, които не знаех! 4!!!!!!!!!!!!!!!!!!
"Няма нищо по-лошо от тъп човек, който се мисли за особено интелигентен." И.А.
- Crescent
- От дъжд на вятър
- Мнения: 147
- Регистриран на: 24 Фев 2006, 15:10
- Пол: Мъж
- Местоположение: София
Re: Изпит по ВА. Задачи. Дискусия
Е, Ели, ти какво искаш? Тия зазубряния на доказателства не са ми по възможностите
Покрай тях намразвам и всичко останало и е естествено да му ъъъ-кам
Добре, че беше писмения...
Re: Изпит по ВА. Задачи. Дискусия
Как се доказва това? (или къде мога да го видя online)Има и още едно помощно твърдение за неразложимост.
Полинома f(x) не разложим в полето F тогава и само тогава когато f(a*x+b) е неразложим в F. Където a, b са от F.
Благодаря предварително!
- borku
- В началото бе словото
- Мнения: 92
- Регистриран на: 19 Авг 2008, 10:12
- Специалност: Информатика
- Пол: Мъж
- Курс: четвърти
- Местоположение: София
Re: Изпит по ВА. Задачи. Дискусия

Кой има желание да ми пообясни как стават тези задачи?
Един за всички и всичко пак за мен ; )
- morfei
- Форумно зомби
- Мнения: 1975
- Регистриран на: 19 Апр 2009, 16:17
- Специалност: Компютърни науки
- Пол: Мъж
- Курс: първи
- Местоположение: Софията
Re: Изпит по ВА. Задачи. Дискусия
Мога да ти кажа как се решава само първата задача, защото за другите не знам матрияла 
Започваш с намирането на трите корена на f(x) - x1,x2,x3.След като ги намериш със заместване намираш y1,y2,y3 и тогава g(y) ще бъде равно на (y-y1)(y-y2)(y-y3). Разкриваш скобите,съкращаваш и си готов/а.

Започваш с намирането на трите корена на f(x) - x1,x2,x3.След като ги намериш със заместване намираш y1,y2,y3 и тогава g(y) ще бъде равно на (y-y1)(y-y2)(y-y3). Разкриваш скобите,съкращаваш и си готов/а.
Компютърни науки 1 курс
- borku
- В началото бе словото
- Мнения: 92
- Регистриран на: 19 Авг 2008, 10:12
- Специалност: Информатика
- Пол: Мъж
- Курс: четвърти
- Местоположение: София
Re: Изпит по ВА. Задачи. Дискусия
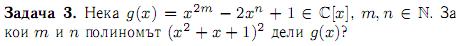
Благодаря! Идеи за тази?!
- Прикачени файлове
-
- zad3.JPG (6.96 KiB) Преглеждано 266 пъти
Един за всички и всичко пак за мен ; )
- morfei
- Форумно зомби
- Мнения: 1975
- Регистриран на: 19 Апр 2009, 16:17
- Специалност: Компютърни науки
- Пол: Мъж
- Курс: първи
- Местоположение: Софията
Re: Изпит по ВА. Задачи. Дискусия
Треа малко да я помисля... 
Едит: Сори, за тая не мога да се сетя.Явно не решаваме достатъчно задачи за делимост в училище. Всъщност като се замисля изобщо не решаваме, а тази задача е на ниво олимпиада 2-3 кръг.
Едит: Сори, за тая не мога да се сетя.Явно не решаваме достатъчно задачи за делимост в училище. Всъщност като се замисля изобщо не решаваме, а тази задача е на ниво олимпиада 2-3 кръг.
Компютърни науки 1 курс
